logo

  • P-ISSN1225-0163
  • E-ISSN2288-8985
  • SCOPUS, ESCI, KCI

Article Detail

Home > Article Detail
  • P-ISSN 1225-0163
  • E-ISSN 2288-8985

Analytical evaluation of the effects of hydrogen-bond acceptor (HBA) structure and deep eutectic solvent (DES) composition on terpenoid extraction efficiency from Centella asiatica

Analytical Science and Technology / Analytical Science and Technology, (P)1225-0163; (E)2288-8985
2025, v.38 no.6, pp.383-391
https://doi.org/10.5806/AST.2025.38.6.383
Jang Yujeong (Department of Chemical Engineering, Hannam University)
Lee Nahyun (Department of Chemical Engineering, Hannam University)
Jo Won Jun (Department of Chemical Engineering, Hannam University)
Choi Jaeyeong (Department of Chemistry, Hannam University)
Ha Sung Ho (Department of Chemistry, Hannam University)

Abstract

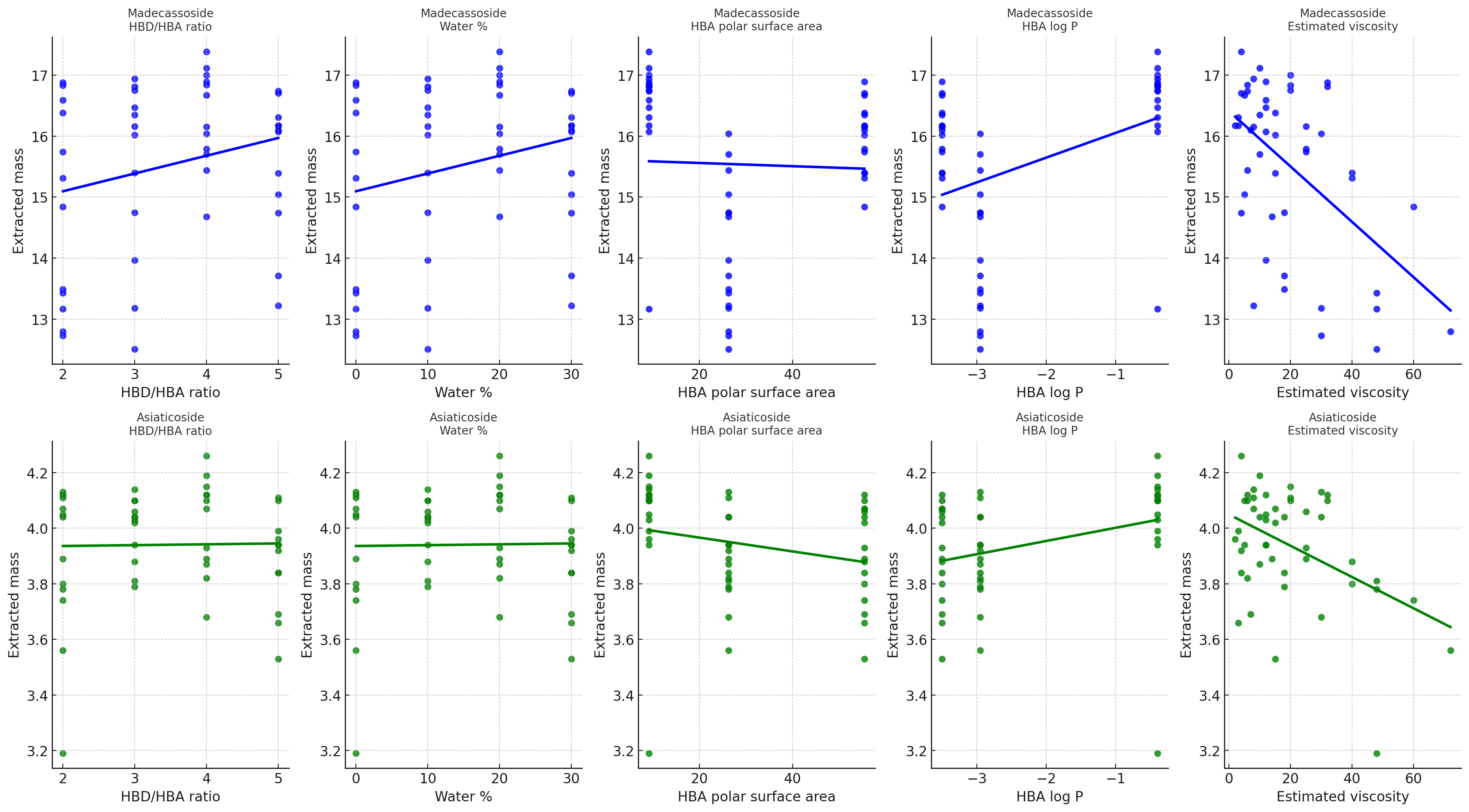
This study investigated the effects of hydrogen-bond acceptor (HBA) structure, hydrogen-bond donor (HBD)/HBA ratio, and water content on the extraction efficiency of asiaticoside and madecassoside from Centella asiatica using deep eutectic solvents (DESs). Three quaternary ammonium HBAs—choline chloride (ChCl), acetylcholine chloride (AChCl), and chlorocholine chloride (CCC)—were combined with ethylene glycol (EG) as HBD. Under 20 % water, asiaticoside showed little variation among DESs, while the more polar madecassoside exhibited distinct trends depending on HBA structure. CCC-DES achieved the highest extraction yield (17.38 ng/mg) due to weakened hydrogen bonding and lower viscosity, whereas AChCl-DES, with an ester group (−O−COCH3), showed reduced efficiency from increased viscosity and restricted diffusion. Increasing HBD/HBA ratio and moderate water addition enhanced extraction by reducing viscosity; however, excessive water (>30 %) disrupted the DES network. EG acted as an internal factor maintaining structural integrity, while water functioned as an external factor, promoting diffusivity. These results highlight that HBA structure and DES composition cooperatively determine physicochemical behavior and extraction efficiency, providing insights for designing eco-friendly solvents for natural product extraction.

keywords
Centella asiatica, asiaticoside, madecassoside, quantitative analysis, deep eutectic solvent (DES), extraction, HPLC, terpenoid

Graphical Abstract

AST-2025-049_R1_P_Graphical Abstract_001.png

Received
2025-10-20
Revised
2025-12-01
Accepted
2025-12-01
Published
2025-12-25
상단으로 이동

Analytical Science and Technology