ISSN : 2287-9099
The Database Industry Promotion Act was proposed at the National Assembly plenary session on July 26, 2012 and since then it has been in the process of enactment in consultation with all the governmental departments concerned. The recent trend of economic globalization and smart device innovation suggests a new opportunity and challenges for all industries. The database industry is also facing a new phase in an era of smart innovation. Korea is in a moment of opportunity to take an innovative approach to promoting the database industry. Korea should set up a national policy to promote the database industry for citizens, government, and research institutions, as well as enterprises. Above all, the Database Industry Promotion Act could play a great role in promoting the social infrastructure to enhance the capacity of small and medium-sized enterprises. This article discusses the background of the development of the Database Industry Promotion Act and its legislative processes in order to clarify its legal characteristics, including the meaning of the act. In addition, this article explains individual items related to the overall structure of the Database Industry Promotion Act. Finally, this article reviews the economic effects of the database industry for now and the future.
As information technology (IT) develops, information systems become complex and diverse. The effects of information systems on society and individual life become extended. A database, a core infrastructure component of information technology, is an aggregation collecting and accumulating related sets of data to make them available to be searched and used in various ways, and in order to develop our society into an information-based society with a focus on knowledgebased service (Park & Lee, 2009).
In a knowledge information society, a database is not merely a simple assembly of data organized by conceptual structures of data, but an infrastructure functioning as a framework that stores and circulates data structurally and systematically (Bae et al., 2012).
The database industry provides services by analyzing and processing the accumulated data in a field that makes it possible for the effective creation and use of information and knowledge throughout society. Thus, the database industry has both direct and indirect effects on industry in general, let alone on hardware (H/W) and software (S/W) (Lee, 2003). The database industry is developing as a high added value industry integrating with various services as well.
Recently, data constructions by corporations and data accumulations by social network service (SNS) are increasing geometrically. In the big data era in which large amounts of data are produced, the importance of databases using big data and creating new value is gradually increasing.
However, the Korean database industry requires legislation and regulation to promote the industry, as it has problems such as a lack of competitiveness from small and medium-sized companies, a poor quality management system, and an unbalanced demand/supply of specialized manpower. It also lacks a promotion system to foster an independent industry (Bae et al., 2012). In Korea, laws relevant to databases are focused on the database construction itself, and they only provide legal ground for the subjects of production from the point of view of the database supplier, while in foreign countries, legal systems have been fostering the whole industry, supporting not only database construction but also the users of the database. To make the database industry a core infrastructural component of the knowledge information society and a high added value industry in Korea, there should be a special arrangement.
In this paper, we explain why and how the establishment of the Database Industry Promotion Act was carried out. In addition, we analyze the effects of the Database Industry Promotion Act and shed a light on the social background of the database act, and the legal characteristics and significance of the act. We analyze the current issues that can be resolved through establishment of the database act in the future, by explaining the structure and contents of the act as well.
A database means an ‘aggregation of data,’ and is a system that systemically accumulates serial data and provides the data to be used in the right place in a timely manner (Law Firm Suho, 2009). As a tool to accumulate and manage geometrically increasing digital data, databases are in the same vein as informationization, along with developing information technology. That is, in modern society, the database has a core role in all fields in which informationization is being developed (Park & Lee, 2009). Therefore, the definition of a database differs slightly depending on various perspectives. The International Standard Organization (ISO/IEC) defines a database as an assembly of data organized by a conceptual structure that describes characteristics of the data and the relations between entities related to each data to support more than one applied area (ISO/IEC 2382-17, 1999), emphasizing the technical aspects, while the World Intellectual Property Organization (WIPO) defines it as a compilation of data or other material in every form by selection or arrangement of contents that compose intellectual creation, emphasizing the aspect of a written work (WIPO-ESCWA, 2003). The Linux Foundation defines a database as a group of formal data composed so that a computer can easily search data (The Linux Information Project, 2006). In the definition of database in current law, whether or not effective search and use are available is a standard metric in deciding the value of a database. In copyright law (revised in 2011), a database is defined as a “compilation that systematically arranges or composes material that separately approaches to the material or that can search the material,” different from a written work (Bae et al., 2012). Like the above, the stream of informationization is recently changing from focusing on database construction to uses of databases, and the definition of a database is evolving following the change of the times. While accumulating and storing a large amount of data was an important performance of a database in the past, recently, how effectively data can be searched and used has become a parameter in deciding the value of a database, let alone the total amount of data.
The database industry is a field that provides service by searching and using established databases, and according to the Database Industry Promotion Act which will be addressed, the database industry is defined as an “industry that provide service related to production of databases to create economic value” (Law Firm Suho, 2009), and the Korea Database Agency defines the industry as an “industry that constructs and systemizes a database with digitalized data, continuously operates and manages the database, and makes the accumulated database a more valuable product and provides the service by analyzing and processing in order to lead a business” (Bae et al., 2012). In other words, the database industry consists of four sectors, including database construction which converts the analogue data into digital data, makes a database, and constructs a system; DBMS, a database service that provides information on various subject areas using the stored data; a database solution that develops and maintains solutions for using databases, such as search engines; and database consulting that performs system or business consulting based on databases. Among these elements, database service is closely related with database solutions. However, there is a difference between database service and database solutions. For example, firms delivering database service may provide weather information services using weather databases or legal information service using legal databases. Firms delivering database solutions are such as Oracle and SAP. According to Korea Standard Industrial Classifications (KSIC), database services includes portals, Internet infomediary businesses, news supply businesses, and online information supply businesses. Database solutions includes application software development and supply businesses, computer programming service businesses, computer system integration and consulting businesses, and information processing businesses.
As above, the database industry is an integrated industry group that supports related businesses focused on databases, and is closely related to the contents industry (or of the service providing the contents, including combinations of both) and the software industry.1 Recently in academic legal circles, databases are regarded as an independent industry, while databases dealt with in these industries have limited subjects and do not enclose the databases themselves, and as such

the industry is regarded as an integrated one that also functions as infrastructure in all industries.
The Korean database industry was valued at 11 trillion won in 2012, having grown by 6.09% year on year, and it is expected to grow by a 8.2% annual average since 2010, and is projected to exceed 14 trillion won in 2017 (Korea Database Agency, 2012). This growth rate is over 2.5 times the rate of Korea GDP growth in 2012, showing that the database industry has a higher growth rate than other industries. When the industry is segmented, the database construction market value
Note: From 2012 Database industry market analysis result report, 2012

was 4 trillion, 512 billion won, growing by 6.4% since 2011, and the database service market was 4 trillion, 484.7 billion won, growing by 3.8% year on year, accounting for 40.7% of the database industry market. Database solution market value was 1 trillion, 746.7 billion won, growing by 10.6% since 2011, 36.8% of this being in security solutions. While the database consulting market is the smallest area in the database industry, it grew into a 263 billion won market, recording a high growth rate of 7.9% (Korea Database Agency, 2006).
Based on 2011, the number of companies in the database industry in Korea is estimated to be about 5,300 (Park et al., 2011), and the annual revenue of most of them are less than 10 billion won. In the database construction area, about 85% of companies make annual revenues of less than 10 billion won, and more than 35% of companies’ revenue was less than 2 billion won.
In the database service area, more than 90% of the companies have annual revenues of less than 10 billion won, and the annual revenues of 55% of companies were less than 1 billion won. However, as database consulting and solution companies did not disclose their sales amounts accurately, numbers were difficult to estimate (Korea Database Agency, 2011). On the other hand, recently Korean database companies are actively entering the overseas market, most of them database solution and consulting companies, and exports in 2011 were found to reach 479 billion won (Ministry of Culture, Sports and Tourism, 2011).
The total manpower working in the database industry in 2012 was 230,000 people, an increase of by 5% from 2011. The number of people who directly deal with databases was found to be 61,230 (Korea Database Agency, 2012). According to the Korea Database Agency, average revenue per person related to databases was 179.64 million won, about 6.5 times GDP in 2011 (23,749 dollars),
Note: From Information industry market size & share rankings: Preliminary 2012 results. Outsell. 2013
*Annual average exchange rate of 2012: 1,113.47 KRW/dollar

showing that the database industry is a high efficiency industry with high productivity (Korea Database Agency, 2011).
Overseas database service market value was 506 billion dollars in 2012, growing by 3.3% year on year (Fooladi et al., 2013). In the service market, new information accounted for 82.9 billion dollars, being the largest sector, followed by web search at 64.9 billion dollars, and education and training at 64.4 billion dollars. Especially, HR information showed the highest growth rate of 19.1% year on year, with web search showing 17.3% growth rate year on year. However, news information declined by -6%, and yellow page directory information declined by -4%. Table 2 shows market size by database service worldwide.
The biggest company in the database service market is Google, with revenues of 46 billion dollars in 2012, followed by Thomas Reuters with 13.1 billion dollars. Especially, Google is settling down as the major company in the search syndication market, with over 20% of annual growth. Among Korean companies, NHN grew by 101.6% year on year, with revenues of 2.5 billion dollars. As China continues to emerge as a new stronghold in the database service market, Baidu.com was ranked seventeenth, with revenues of 3.5 billion dollars.
The worldwide market size of DBMS, the representative database solution, was about 24 billion dollars in 2011, growing by 5.4% year on year (Korea Database Agency, 2012). The data integration market grew from 3 billion dollars in 2010 to 3.5 billion dollars in 2011, expanding by 13.9%. The data integration market consists of data quality management and master data management. The BI (Business Intelligence) solution market was found to have increased by 9.8% from 10.5 billion dollars in 2010 to 11.5 billion dollars in 2011. When the BI solution market is segmented, the BI Platform market was 6.7 billion, the CPM market was 2.2 billion, and the analytics market was 1.7 billion dollars. Especially, the ratio of the analytic market was found to have been extended in the BI solution market (Korea Database Agency, 2012).
Several problems are being exposed in fostering a Korea database industry. Poor related legal systems, a lack of manpower, poor quality management, and distorted service eco-systems are major problems.
To foster and promote the database industry, basic elements like organization, manpower, and budgeting should be supported, but a systematic environment for fostering the database industry is lagging far behind. Especially, from the aspect of law, databases have similar regulations in some legislation, but they are not solid enough to support business initiation. And thus there is no legal system which integrates the industry. In most laws, only the construction of the database is regulated, and the construction is stipulated to be the discretion of the state or the head of an organization. As there is no restrictive regulation regarding failure of construction, numerous difficulties impede the development of a systematically fostered database industry. Therefore, an independent law that generally specifies the database industry is required.
Second, even though the database industry needs a large quantity of specialized manpower from database planning and management for operation, insufficient policies for fostering database specialists is also a major cause that impedes the growth of industry (Bae et al., 2012). In this situation, on database industry sites, manpower is fostered by themselves. However, this is accompanied by high costs and time spent, and employing new employees is difficult. According to a survey, a total average of 60,880 thousand won per person is the cost for an IT company to employ a new employee and train the employee (Ministry of Security and Public Administration, 2012). Therefore, a mid and long term strategy to foster special manpower needs to be established, and cooperation between industry and education should be systematically regulated to maintain a consistent cooperative relationship.
Third, acknowledgement of the need for database quality management is gradually spreading, but quality management systems are still insufficient (Bae et al., 2012). It was found that a social cost accounting of 46 trillion, 900 billion won is incurred as an annual average economic loss (Bae et al., 2012). In addition, the number of data errors occurring due to insufficient quality management is estimated to be over 65 million cases in public agencies, and 43 billion cases in private corporations (Korea Database Agency, 2010), with a high average database error rate of 4.38% (Korea Database Agency, 2012).
Fourth, the service eco-system is distorted. The average revenues of 55% of database service companies were less than 300 million won, and the types of databases served number about 2,000, tied up for the last 5 years (Law Firm Suho, 2009). More than half out of 51 service providers provide databases for free via portals, and 93% are not getting properly paid (Korea Database Agency, 2012). This demonstrates not only the need for a legal regulation to solve this problem, but also an independent organization that mediates, settles, and assesses these problems for win-win partnerships.
Industry analysis was used to measure the economic effect of the database industry. Industry analysis involves a comprehensive statistical table that records all transactions related to the production and disposal of goods and service occurring in an economy during a certain period (usually one year) in a certain principle and form, and it is widely used as basic data for the establishment of various economic policies and for economic and industrial analysis. Mutual linkage of the database industry and other industries can be figured out using this industry analysis, and the economic effect of demand for the database industry on the whole industry can be evaluated (Park et al., 2011).
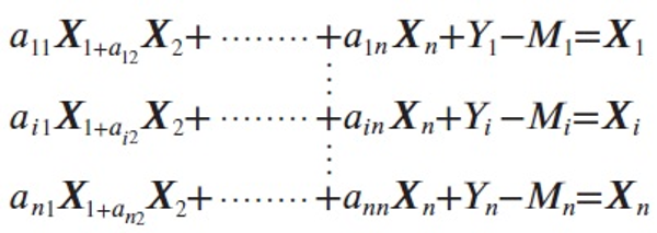
Industry analysis presumes that the input coefficient is always consistent and the supply of raw material is always flexible, and the input coefficient mediates the final demands and is exogenously determined, like with consumption, investment, and export and gross output. From the perspective of the whole national economy, the production activity of each industry is made ultimately to fulfill final demand.
To make an industry analysis, the industry closely related to the database industry on the input-output table was identified to estimate the industry related to databases. Classification of the database industry based on Korean standard industry classification was compared with basic areas on the input-output table and adjusted for this study.
If there are many areas in an industry, using an input coefficient to measure the production inducement effect that is infinitely continued is difficult, thus the production inducement coefficient can be deducted using an inverse matrix.

aij is input coefficient, Xi is output in i area, Yi is final demand in i area, and Mi is income in i area.

X is gross output vector, A is input coefficient matrix, Y is final demand, E is export, and m is import coefficient. Here, the

matrix is the production inducement coefficient. The production inducement coefficient means the direct and indirect production effect induced in each industry area to fulfill one increased unit of final demand.
The production inducement coefficient of the database industry based on the above is estimated to be 1.838, which means that a production of 31 trillion, 790.9 billion won is required to fulfill the financial demands of 17 trillion, 291.9 billion won (Park et al., 2011).
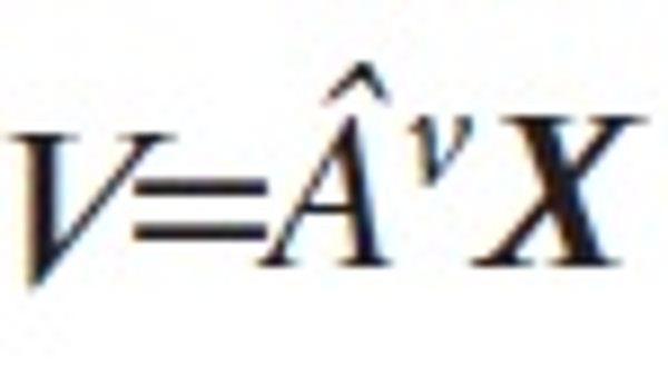
A production inducement coefficient table was used to deduct the interaction formula showing interaction between final demand and added value. When added value vector is (V) and diagonal matrix of added value coefficient is

relation of

is established. Therefore, when the production inducement interaction formula substitutes in this formula, the formula of

is obtained and in this formula,

is the added value inducement coefficient matrix. The added value inducement coefficient is the sum of added value directly and indirectly in-duced in a whole national economy when one unit of final demand for domestic production occurs in an
industry area (Korea National Bank, 2011). The added value inducement coefficient of the database industry is 0.872, which means that 15 trillion, 284.6 billion won of added value is induced when the final demand of 17 trillion 292.9 billion won is fulfilled (Park et al., 2011).
To deduct the labor inducement coefficient, the demand equation between final demand and gross output, used to calculate the production inducement coefficient explained above, was multiplied by the diagonal matrix of labor coefficient

to establish

Here,

is the employment inducement coefficient. As for the labor inducement effect by final demand item, the labor inducement coefficient matrix was multiplied by the final demand vector of consumption, investment, and export to measure labor inducement count

by final demand item.
The employment inducement demand can be analyzed by the two aspects of employee and employer.2 The employment inducement coefficient means labor directly and indirectly induced in the production process, including not only labor directly needed in one unit of product in a certain industry (labor coefficient), but also the labor indirectly induced during the production process (Korea National Bank, 2011). The employment inducement coefficient of the database industry is 13.177 persons per 1 billion won, with an estimated total employment inducement of 337,475 persons (Park et al., 2011).
To measure the economic effect of the establishment of the Database Industry Promotion Act, a survey was given to 82 corporations that are located in Korea and prominent in the database business.
From the survey, the average investment by corporations related to databases to the database industry was estimated at 1.9 billion won and, after legislation, this was expected to increase by 38.5% to 2.68 billion won. Therefore, each private corporation is expected to make an additional annual investment of an average 750 million won in the database industry through the establishment of the Database Industry Promotion Act. Accordingly, from a minimum of 2 trillion, 787.8 billion won to a maximum of 5 trillion, 119.8 billion won of economic effect is projected (Park et al., 2011). Production inducement effect is estimated from a minimum of 5 trillion, 123.9 billion won to a maximum of 9 trillion 410.1 billion won. The added value inducement effect is estimated to be from a minimum of 2 trillion, 430.9 billion won to a maximum of 4 trillion,

464.4 billion won (Bae et al., 2012). The employment inducement effect is additionally estimated from a minimum of 36,735 persons to a maximum of 67,464 persons of employment expected, showing an average of 52,099 persons in job creation effect (Bae et al., 2012).
When economic effect by database use is indirectly estimated through database use effect in the public sector, in Europe, the economic effect on EU (European Union) member countries by use of public information in the private sector is estimated to be 61 trillion won (40 billion EUR) a year, and when direct and indirect economic effect is considered together, it is expect- ed to be 211 trillion won (140 billion EUR) a year (Graham, 2011). In Korea, systematic policies are being established for the introduction and use of information and data in the public sector, and the economic value following the use of public information is estimated to be about 1 billion won (Korea Database Agency, 2006).
Current Korean law regulates database construction, but there is almost no legal base regulating industry fostering or support. Copyright law and national space information law directly defines database components as including information structure, information systems, information telecommunication bases, and linked subjects. Table 6 shows the current status of domestic laws that includes databases.
Domestic laws related to database use are focused on the database construction itself, and they merely provide legal ground for the subjects of production from the point of view of database suppliers. Database construction is regarded as a right or discretion from the point of view of the database supplier, and databases are regulated as a subject of construction only in public sectors such as government, or in facilitating a construction program of a constructor like a government. As there are no restrictions governing fulfilling the responsibilities of database construction, they are just declarative regulations. Moreover, there is no administrative or legal ground at the provincial/state level for quality management, distribution support, industry fostering, or other restrictions. Regarding database distribution applicable to the private sector, protection regulation of databases is just specified by copyright law, enabling settlement by damage compensation based on precedents or protection of databases without creativity or according to an act of unfair competition prevention. Therefore, a review of unbalanced database regulation is needed again from the aspects of production, management, use, and industry, and establishment of database legislation is needed so that activities can be conducted organically in various areas.
When we studied systems related to databases in foreign countries, their legal systems were fostering their whole industry, supporting not only database construction but also users of the database.
Japan is fostering and promoting their whole industry, supporting not only suppliers’ production management but also distribution management from the point of view of users (Kim, 2011).
Considering the social effect of information sharing and disclosure, the USA mandates database construction not only in the public sector but also in the private sector for specific issues, and regulations to enforce continuous database quality management have been established. At a federal level, information quality management of all federal government departments was systemized through establishment of the Information Quality Act (Law Firm Suho, 2009).
The EU is trying to maximize the value of database use through legal protection of databases and open data policy in the public sector, and in 2003 a directive on reuse of public information was established to stipulate the use of public information by the private sector, and in 2011, the reuse of public information and data was mandated through a data open policy (Graham, 2011).
As mentioned above, domestic database-related laws are focused on database construction itself, and there is almost no regulation on database industry fostering and use. And there is almost no law on data quality management and support for industry promotion or elements to enhance usability of constructed databases. On the other hand, in major countries, databases are recognized as an important form of media that realizes fulfillment of publically beneficial obligations like the distribution and use of information, not as an asset, and related regulations are being modified (Law Firm Suho, 2009).
Regulation on databases first appeared in 1994, in a partially amended copyright law, and databases have become the subject of legal protection since then. However, at that time, copyright law regulated a compilation work as a creative compilation of materials or arrangements,3 so databases were not applicable to this regulation and were not protected. Therefore, the need for an independent legal system for database protection was addressed and in 1996, a law of database protection and promotion was proposed for the first time in the National Assembly, but the legislation failed due to conflicts on legal provisions between departments (Kim, 2011).
During the time that claims were being continually made by creators that database protections under copyright law were insufficient, the “Mirae information incident”4 occurred and the need for database maker protection strongly emerged. Motivated by this incident, an ‘Act of Database Protection and Use’ was proposed in 1999, with the opinion that a law embracing the protection of investment in database making is required; however, it was discarded when the National Assembly term expired. After the legislation failed in 1999, the responsible department at that time, the Ministry of Information and Telecommunication, preannounced legislation (Ministry of Information and Telecommunication Notification No. 2001-5), but in the process of opinion adjustment with the Ministry of Culture and Tourism, a settlement was made to revise copyright law, nevertheless failing to make final legislation (Bae et al., 2012).
In 2011, as revenues of the database industry exceeded 10 trillion won, the industry emerged as one with a high market contribution and employment effect. However, government agencies and the National Assembly remain in discussion over the opinion that an independent law is needed to systematically foster and support the database industry. In industry and the academic sector also, the necessity to prepare a legal system related to databases has been addressed. Therefore, on June 1, 2011 the Database Industry Promotion Act was proposed and subsequently introduced in the National Assembly on December 23, but it was discarded as the term of the National Assembly had expired.
Even though the database act was discarded due to the last National Assembly’s term expiration, as consensus

on the need for a database related law spreads in the National Assembly, government, corporations, and the academic sector, the act was proposed again on July 26, 2012. However, the department responsible for the database industry was integrated into the Ministry of Science, ICT, and Future Planning, and it will be supplemented with the act of database industry promotion and proposed again in May 2013.
When the flow of steps from the law of database protection and promotion proposed in 1996 to the present proposed Database Industry Promotion Act is studied, the direction of the legal system can be seen to be changing from a focus on protection and facilitation of database use to the fostering of industry that facilitates the use of databases.
The Database Industry Promotion Act planned for proposal again in May 2013 consists of 4 chapters, 23 articles, and supplementary provisions, including chapter 1, general rules; chapter 2, database industry base construction; chapter 3, database industry fostering; and chapter 4, penalties.
The production area consists of standards implementation and quality management. Article 8 and 15 apply to standards setting, and articles 9, 10, and 11 apply to quality management.
Article 8 (standardization) contains activity support for industrial standardization required in making and using databases, quality improvement, and securement of compatibility, and article 15 (actual conditions survey) contains an actual conditions survey for more effective performance of the database industry.
Article 9 (quality improvement) contains database quality improvement plans like database quality standard and examination plans, and article 10 (quality certification) contains quality certification for database quality securement and distribution facilitation. Especially, article 11 (security management) contains subjects related to database security management to respond to data security accidents.
The distribution area consists of making and using, distribution support, and international cooperation and support for overseas market expansion.
Article 7 (support to database making) regulates the preparation of support plans for database makers and businesses, and article 21 (activation of convergence database) regulates the preparation of base regulation for convergence of the database industry and other industries.
Article 16 (database distribution support) stipulates a support plan to activate database distribution, and article 18 (establishment and recommendation of compensation calculation standards) regulates international cooperation for support of overseas market expansion of database industry overseas market expansion support projects.
In the human resource area, article 13 (fostering specialized manpower) stipulates support for specialized manpower fostering by developing and improving actual job ability through job standards preparation, cooperation between industry, and education and support for related education, as demand for database specialist manpower increases.
The Finance area consists of technical development and funding.
Article 12 (facilitation of technical development) contains continuous support for research and development by government to secure database related technology and management, procurement technology transfer, and information exchange facilitation of related technology information, and article 19 (commercialization support) regulates contribution to technology development activation by stipulating economic support by government for commercialization of core technology.
Article 5 (funding) stipulates that the government should make efforts to prepare funding required to foster the database industry.
The fostering area consists of planning, execution and restrictions, support for various subjects, demand and use of management, supply, and management creation.
Article 3 (establishment of basic plan) regulates setting up basic plans for database industry promotion, and article 4 regulates establishment and execution of the executive plan according to basic plans related to the database industry.
Article 22 (protection of material data) stipulates preparation of protective plans for material data used in databases, and article 24 (prohibited act) regulates protection of database makers by listing prohibited acts in order to protect the value of the database.
Article 25 (penalty) regulates protection of material data and punishments to deter database system false attacks, and article 22 (establishment of Korea Database Promotion Agency) provides a ground of establishment for specialized authority to foster the database industry.
Article 17 (securing fair trade order) regulates preparation of an automatic support environment to construct and distribute databases, and article 20 (registration of database business) regulates database business registration in order to manage business results of database corporations and manpower history.
Today, we can see and feel that the world economy is rapidly changing. Databases are not just simple information constructed in your computer like in the past, but are an important information source that can be used anytime and anywhere by processing the database into useful information. Databases are changing our way of life and culture (Lee, 2007).
In 2012, revenues of the database industry exceeded 11 trillion won, and the importance of the industry is increasing as a core industry, showing a high yearly growth rate exceeding 6.0%.
However, the Korean database industry has problems including low competitiveness of small and medium size companies, poor quality management systems, and a lack of specialized manpower. First, according to the 2012 Korea database industry market analysis result report provided by the Korea database agency, Korean database service providers with annual sales around a mere 170 million won occupy 56% in terms of the number of database service providers yet occupy only 4.2% of the Korean database market. A vicious circle is perpetuated in the unfair trade environment where conglomerates are monopolizing the market. Database service providers with annual sales over five billion won take 11.1% in terms of the number of database service providers and occupy over 80% of the Korean database market. In addition, small and medium-sized database service providers are not demanding fair compensation when providing database services for large portals. While they are experiencing difficulties in finding a new market, such large portals are launching very similar database services. Thus, the survival of small and medium-sized database service providers is being threatened.
Data loss recovery costs have reached 46 trillion, 900 billion won, and according to the 2012 Korea database industry market analysis result report by the Korea database agency, the accumulated database error rate in private and public organizations’ databases from 2004 to 2011 reaches 4.38%, causing economic loss in general society. Here, the database error rate is an estimate of errors introduced during data entry and cleaning. The estimate of this rate can be obtained by counting the number of errors which occur, for example, when entering numbers where characters should be entered, and dividing it by the total number amount of verified data. While 28,800 persons of medium and high quality database manpower are needed by 2014, only 2,300 persons of medium and high quality manpower graduating from college will be available, a shortfall of 26,400. Therefore, a legal ground for resolving general problems of the database industry like above, to create a sound database eco-system, and to construct a virtuous circle, should be prepared through the Database Industry Promotion Act.
As large amounts of data is produced, distributed, and shared by the expansion of smartphones and SNS, corporations recognize data as a core asset, and the importance of databases is ever increasing through the technical support of transfers, storage, protection, convergence and copies of data and the acceleration of knowledge distribution. Therefore, a legal basis should be established so that databases with increasing importance can be protected and used under a database act.
In 2011, the size of the database industry was estimated to be 10 trillion, 400 billion won, and a production inducement of 31 trillion, 800 billion won and an added value inducement of 15 trillion, 300 billion won were estimated, with a huge effect on the Korean economy. When the law is enacted, investment in database corporations will expand and a 4 billion person employment inducement effect is expected. As above, the Database Industry Promotion Act will increase the future value of the database industry and support the active vitality of the Korean economy by expanding the role of the database industry.