바로가기메뉴

본문 바로가기 주메뉴 바로가기
 

logo

  • P-ISSN2287-9099
  • E-ISSN2287-4577
  • SCOPUS, KCI

Vol.4 No.4

초록보기
Abstract

Information needs of users have been examined both generally and as they pertain to particular types and formats of information. Barriers to information have also been investigated, including those which are situational and also across certain domains and socioeconomic contexts. Unified studies concerning both information needs and barriers are needed. Both are likely always present in any given interactive search situation; further, users' attempts to satisfy their own individualized information needs will likely encounter barriers of some sort. The present study employed a survey method to collect users' perceptions of video information needs and barriers as part of recent video search situations. Findings from this analysis establish a unified framework, based on the themes emerging directly from the responses of users, and present the suitability and benefit for informing future designs and evaluations of user-centered interactive retrieval tools.

Heesop Kim ; Reysa C. Alenzuela pp.16-29 https://doi.org/10.1633/JISTaP.2016.4.4.2
초록보기
Abstract

Around the world, public access to information plays a crucial role in improving lives and facilitating development. People, technology, and information which also represent common themes of i-school, are deemed relevant in adapting to these global challenges. The main purpose of this research is to identify the orientation of curriculum in LIS Schools in South Korea toward technology, information and people for graduate schools of library and information science. This research also correlates the directions of the schools with UN 2030 Agenda. Using the Wilson model, this study examines the orientation of courses offered. The result of the classification and content analysis revealed that courses offered are leaning towards technology and information content. Courses reviewed in the light of developing knowledge and skills of information professionals to facilitate the fulfillment of global goals can make libraries more responsive to the changing times.

B. Ramesh Babu ; J. Selvamani pp.30-48 https://doi.org/10.1633/JISTaP.2016.4.4.3
초록보기
Abstract

Information seeking behaviour is an activity of an individual in the process of identifying information that suits his/her knowledge pursuit. It is observed from the review of literature that there is no single study on the Information Seeking Behaviour of faculty of Pharmacy either at state level or national levels in India. Therefore this research has been conducted to bridge the gap on Information Seeking Behaviour of Pharmacy faculty in Tamil Nadu in view of the recent developments in information Seeking Behaviour with objectives such as; to identify the information needs and seeking behaviour of faculty of the pharmacy educational institutions in Tamil Nadu (India); to examine the motivating factors for information seeking behaviour of the pharmacy faculty; to examine the faculty opinions about the comprehensiveness or otherwise of respective institution's library collections and to analyse the extent of use and dependence on various sources of Information for teaching and research. A total of 729 questionnaires have been distributed among 41 pharmacy educational institutions in Tamil Nadu. Out of which 601 have responded and the response rate is 82.44%.Based on the findings of the study certain implications have been derived as a measures to enhance the quality of the pharmacy libraries in Tamil Nadu.


Musediq Tunji Bashorun ; Priti Jain ; Peter M. Sebina ; Trywell Kalusopa pp.49-63 https://doi.org/10.1633/JISTaP.2016.4.4.4
초록보기
Abstract

The emergence of World Wide Web (WWW) has changed the scholarly publishing system. Today, Open Access (OA) scholarly publishing offers free access and wide dissemination for research findings anytime and anywhere as an additional value for scholarly content. Despite the potentials of OA publishing, its adoption and use is still low. The paper determines factors influencing the adoption and use of OA publishing by academic staff in universities in Nigeria using an adapted Unified Theory of Acceptance and Use Technology (UTAUT). The study applied methodological triangulation by combining quantitative and qualitative approaches. The empirical data were collected from 317 academic staff in universities in Southwest Nigeria. The questionnaire forms were analysed using the Statistical Package for Social Sciences (IBM-SPSS) 19.0 version to generate descriptive statistics, Analysis of Variance and Hierarchical Multiple Regression. Thematically, analysis was also extended to the interviews. The results show that awareness, attitude, performance expectancy, Internet self-efficacy and facilitating conditions significantly influenced the adoption and use of OA publishing. The study also reveals that due to lack of OA policy, most of the respondents did not know about OA. The findings further establish that all predictors and moderating variables jointly contributed 64.4% total variance towards the adoption and use of OA publishing. One of the implications of this study is that there is the need for adequate facilities to support adoption and use of OA publishing. The findings inform the proposed framework for improving and evaluating the adoption and use of OA publishing; with theoretical, societal and methodological implication for all stakeholders.


Ashiq Hussain Bhat ; M. A. K. Baig pp.64-74 https://doi.org/10.1633/JISTaP.2016.4.4.5
초록보기
Abstract

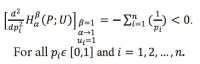
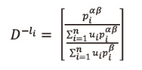
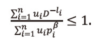
In this paper we define a two parametric new generalized useful average code-word length <math xmlns="http://www.w3.org/1998/Math/MathML"> <msubsup> <mtext>L</mtext> <mtext>α</mtext> <mtext>β</mtext> </msubsup> </math>(P;U) and its relationship with two parametric new generalized useful information measure <math xmlns="http://www.w3.org/1998/Math/MathML"> <msubsup> <mtext>H</mtext> <mtext>α</mtext> <mtext>β</mtext> </msubsup> </math>(P;U) has been discussed. The lower and upper bound of <math xmlns="http://www.w3.org/1998/Math/MathML"> <msubsup> <mtext>L</mtext> <mtext>α</mtext> <mtext>β</mtext> </msubsup> </math>(P;U), in terms of <math xmlns="http://www.w3.org/1998/Math/MathML"> <msubsup> <mtext>H</mtext> <mtext>α</mtext> <mtext>β</mtext> </msubsup> </math>(P;U) are derived for a discrete noiseless channel. The measures defined in this communication are not only new but some well known measures are the particular cases of our proposed measures that already exist in the literature of useful information theory. The noiseless coding theorems for discrete channel proved in this paper are verified by considering Huffman and Shannon-Fano coding schemes on taking empirical data. Also we study the monotonic behavior of <math xmlns="http://www.w3.org/1998/Math/MathML"> <msubsup> <mtext>H</mtext> <mtext>α</mtext> <mtext>β</mtext> </msubsup> </math>(P;U) with respect to parameters α and β. The important properties of <math xmlns="http://www.w3.org/1998/Math/MathML"> <msubsup> <mtext>H</mtext> <mtext>α</mtext> <mtext>β</mtext> </msubsup> </math>(P;U) have also been studied.


JOURNAL OF INFORMATION SCIENCE THEORY AND PRACTICE